Abstract
Generalized Method of Moments (Hansen, 1982) is a generic method to estimate parameters. The method is usually applied in the context where the distribution of the data is unknown, and the over-identification problem exists. GMM provides a consistent, asymptotically normal, and efficient estimator among all the estimators that only use the information provided by the moment conditions. The applications of GMM are widely spread in the field of empirical asset pricing. It provides a generic framework to evaluate the pricing models, which leads to one of the reasons for this study.
1. From MM to GMM
Method of Moments (MM) is one of the commonly-used methods to estimate parameters. It expresses the population moments as functions of the parameters of interest. And then use sample moments to estimate the population moments. Use normal distribution as an example
, suppose , and we use the first two moments,

Using equation (1) and (2), we can estimate parameters
and
with
, which are i.i.d. realizations of the random variable . By solving equations, we’re able to reach an estimation to the parameters. However, if we consider the third and fourth moments of
as well, similarly, there are two more equations.

Here arise the problem, there are four equations and only two unknowns. It is referred to as over-identification problem and normally there is no solution to the system. This is where generalized method of moments works – estimating the parameters in the over-identification problem.
2. Three parts of GMM
Basically GMM consists of three parts – representing the question in the form of population moment conditions, estimating the parameters using sample moment conditions, testing the statistics to evaluate the validity of the model, and the efficiency of the parameters.
2.1 Lemma: standard error of the sample mean
As Professor John Cochrane mentioned in his asset pricing course, “most of the econometrics in GMM boils down to this (standard error of the sample mean)”. We first introduce the useful results as the lemma to derive GMM.
Given a random variable
, denote its sample mean as
, we have,
![]()
Suppose
is stationary and uncorrelated, we have,
![]()
Equation (6) is the most widely seen formula for the standard error of the sample, but it requires rather strict assumptions. Now we relax the constraints, suppose
is stationary but correlated, we have,
![]()
Since
is stationary, when
, we have an asymptotic representation of
.
![]()
Specifically when the mean of is 0, we have
![]()
2.2 Population Moments
Denote
as data,
as parameters that we want to estimate. Find a series of functions
on
and
.
are the population moment conditions in GMM. For example, if we consider asset pricing model using stochastic discount factors
, where
depends on some parameter
. Fama-French three factor model can be expressed as moment conditions,

2.3 Estimate using Sample Moments
Denote
,where
meanssamplemoments. Nowsupposewe have
moments and
parameters, when
>
, the question is over-identified. The central idea of GMM is to find such
so that given a linear combinations of the sample moments, we set all such combinations equal zero. The matrix to represent the linear combination is denoted as
, which is named “selection matrix” in Prof. Cochrane’s context. Express GMM estimator as follows,
![]()
Use delta method, we apply Taylor Expansion to equation (14) at ![]()
![]()
Denote
as
,
is ![]()
×
partial derivative matrix in numerator format. Further transform equation (15), we have,
![]()
Let’s first calculate
. Notice that
=
,
is in fact a variance of the sample mean. Denote
, we have
. Use Lemma in section 2.1, when
, we have,
![]()
Now with equation (16), we have,
![]()
Similarly, use Taylor expansion at
, together with equation (16), we have,

Use the fact that
, we have,
![]()
2.4 Tests on Parameters and the Model
If the model is true
, and
is stationary, then
is consistent and asymptotic normal. We have,

evaluates the efficiency of the estimate, while
tells us how well the model is, whether the near zero result of the sample moments based on luck. Sargan-Hansen J-test can be used to test the model.
Sargan(1958) proposed tests for over-identifying restrictions based on instrumental estimators that are distributed in large samples as Chi-square variables with degree of freedom
−
. Hansen(1982) used this test in GMM estimators. Under
, the model is valid, while under
, the model is invalid in the whole parameter space. Under
, J-statistics is asymptotically chi-squared distributed,
![]()
2.5 Efficiency of GMM
Under GMM framework, for each selection matrix a, we can find the consistent and asymptotically normal distributed estimator. However, which a leads to the most efficient GMM estimator still remains a question. We now show that with
, the estimator is efficient, by showing
is positive semi-definite, where
is the variance of the estimator when
.



In Hansen’s paper, and perhaps also in a majority of textbooks, the GMM estimator is represented as follows,
![]()
Intuitively, the above objective function represents a “weighted norm” of the sample mean under
. We’ll then show that, with new representation, the efficient
, is equivalent with the efficient ![]()

Therefore,
is equivalent as
in corresponding settings, both reach the efficient GMM estimator.
Under the efficient case, GMM estimators and test statistics can be simplified as follows,

3.Implementations and Applications
3.1 Implementations
Notice that the estimation of
requires a or
. Meanwhile,
or
depends on S, which again depends on
. In practice, people use two-staged GMM. First stage: set
, estimate
. Second stage: use
to estimate S, then let
Re-calculate
to update the estimate. Second stage can be iterated several times until the result converges.
3.2 Statistical Applications
As a simple application, GMM can be used to estimate linear model. We use the fact that the residual and right hand side variable are orthogonal.


When
is both heteroscedastic and autocorrelated, we have the famous Newey-West adjusted estimator with,

3.3 Applications in Asset Pricing
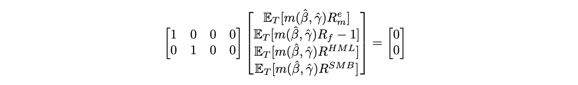
Using the factor model as an example, now we form the following equation,

Although
will give the most efficient estimation, in many cases, we should rather choose
based on the question we’re interested in, or the prior we have. For example, in the above case, our question is whether the pricing error of the CCAPM model is jointly zero on HML and SMB portfolios. Naturally, we shall set
as shown above. It seems in this case, the selection of
may not be efficient. Indeed, as mentioned by Prof. Cochrane, although the GMM method provides as a strong tool in empirical asset pricing, it should not be treated as a black box. We should prevent such usage that by simply expressing the question with a series of moment conditions, and directly come up with an “efficient” estimate with GMM. What we should care is whether the efficient selection matrix makes sense, and whether it is able to align with the question of interest.
References
Cochrane, J. H (2005) Asset Pricing (revised edition). Princeton University Press.
Hamilton, J. D (1994) Time Series Analysis. Princeton University Press.
Hansen, L. P. (1982) Large sample properties of generalized method of moments estimators. Econo- metrica, Vol. 50(4), 1029 – 1054.
Newey, W. K. and K. D. West (1987) A simple, positive semi-definite, heteroskedasticity and autocorrelation consistent covariance matrix. Econometrica, Vol. 55(3), 703 – 708.
Sargan, J. D. (1958) The Estimation of Economic Relationships using Instrumental Variables. Econo- metrica, Vol. 26, No. 3, pp. 393-415
White, H. (1980) A heteroskedasticity-consistent covariance matrix estimator and a direct test for heteroskedasticity. Econometrica, Vol. 48(4), 817 – 838.
